相关内容
-
粉末冶金知识——粉末锻造技术
粉末冶金技术以金属粉末为原料,经压制成型、烧结固化及后续精整等工序,可直接制备出复杂形状的机械零件。其中,传统“压制-烧结”(PM)工艺凭借近净成形、能耗低、成本可控及适配规模化生产等显著优势,在机械制造领域应用广泛。
-
一文了解热等静压技术
热等静压技术作为粉末冶金成形的重要工艺之一,由于其可以制备结构复杂的高性能产品,近年来在航空航天领域得到广泛应用。该工艺技术可用于粉末冶金成型或对成型后的铸件(钛合金、高温合金、铝合金等疏松缩孔铸件)。
-
MIM金属注射成型工艺介绍
金属注射成型,简称MIM,是一种将金属粉末与粘结剂混合进行注射成型的方法。它先将固体粉末与粘结剂混合成为均匀的喂料,然后在加热状态下用注射成型机将其注入模腔内固化成型,再通过化学或热分解的方法去除粘结剂,最后经烧结使产品达到高密度。
-
粉末冶金基础制备工艺
提到“冶金”,很多人会想到高温熔炉里翻滚的钢水,或是锻造车间里铿锵的打铁声。但有一种冶金技术,却能像“捏橡皮泥”一样,将金属粉变成汽车发动机里的齿轮、手机摄像头的支架,甚至是人造骨骼——它就是粉末冶金。
粉末高温合金及制备技术研究——航空发动机
本文概述了我国粉末高温合金及制备技术的研究进展。在粉末制备方面,重点介绍了Ar气雾化制粉技术关键因素,包括设备、雾化过程、粒度控制、O含量控制、粉末形貌控制和夹杂控制等。针对涡轮盘件制备技术,总结了双性能涡轮盘、双合金整体叶盘技术和等温锻造模具用材料的研究进展。此外,还介绍了在粉末高温合金高通量实验和表征以及蠕变行为等方面的研究进展。结合当前航空发动机、3D打印等高端工程用材料重大需求,对我国粉末高温合金制备技术和发展方向进行了展望。

涡轮盘是航空发动机重要的核心热端部件,它的冶金质量和性能水平对于发动机和飞机的可靠性、安全寿命和性能的提高具有决定性作用。涡轮盘工作条件极其恶劣,飞行时承受着复杂的热、机械载荷,各部位所承受的应力和温度均不相同,因此要求涡轮盘材料有足够的力学性能,特别是在其使用温度范围内要有尽可能高的疲劳、持久性能和良好的抗蠕变能力。随着高推重比、高功重比发动机的发展,对涡轮盘强韧性、疲劳性能、可靠性及耐久性提出了更高的要求,这就要求涡轮盘制备必须采用新材料、新工艺和新的设计理念。高温合金(涡轮盘、涡轮叶片等)被誉为燃气涡轮的心脏,一直受到冶金工作者的关注[1~4]。早期变形高温合金的强度提高主要是通过合金化来实现,但随着使用温度和合金强度要求的不断提高,其合金化程度也越来越高,以至于铸锭的合金元素偏析严重,热工艺塑性恶化,使常规铸锻工艺制造涡轮盘时变形加工变得非常困难,粉末冶金高温合金的应用是解决这一问题的有效途径[5~9]。20世纪60年代初,气雾化粉末制备技术开始兴起,1965年发展了高纯高温合金粉末制备技术[10,11],随后制备出粉末高温合金涡轮盘[12],并于20 世纪70 年代首先应用于军用飞机发动机上。粉末高温合金的优势在于,雾化制粉过程中微米级直径的合金液滴快速凝固形成粉末颗粒,粉末组织均匀、晶粒细小,多为细树枝晶或胞晶。从Ar 气雾化高温合金粉末[13]和普通铸造镍基高温合金[14]的显微组织中可知,粉末的枝晶间距较传统铸造高温合金小1 个数量级以上,其成分偏析也被限制在球形粉末颗粒内细小的枝晶尺度范围内,从而达到均质化的目的。
采用粉末高温合金可显著提高力学性能和热工艺性能。近几十年,随着合金和制备技术的快速发展,粉末高温合金已成为目前高性能航空发动机涡轮盘的首选材料。
1 粉末高温合金的发展
1.1 欧美和我国粉末高温合金的发展
欧美发达国家和我国在先进航空发动机中广泛采用粉末高温合金涡轮盘,先后研制出四代粉末高温合金(图1),在军、民用航空发动机中得到了应用。典型的粉末高温合金成分如表1[5,15,16]所示。第一代为650 ℃高强型粉末高温合金,如René95、IN100等;第二代为750 ℃损伤容限型粉末高温合金,如René88DT、N18 等;第三代为高强损伤容限型粉末高温合金,如René104/ME3、Alloy10、LSHR 和RR1000等;第四代粉末高温合金是在第三代的基础上,通过成分调整和工艺优化来获得更高的工作温度[17],使其具有高强度[18]、高损伤容限和高工作温度的特点。我国目前已研制出两代粉末高温合金,以FGH4095 合金为代表的第一代高强型粉末高温合金和第二代损伤容限型FGH4096合金,近年来国内正在研制高强损伤容限第三代粉末高温合金[8],并对第四代粉末高温合金进行了初步探索研究。
1.2 俄系新合金研制
在粉末高温合金研究和生产领域,俄罗斯与美国同时开展工作。与美国普遍采用Ar气雾化制粉+挤压+等温锻造+热处理工艺流程制备粉末涡轮盘不同的是,俄罗斯粉末盘制备采用等离子旋转电极雾化制粉+热等静压成形+热处理的工艺流程。
全俄轻合金研究院从2004 年起开始研制ВВП系列(ВВ750П、ВВ751П、ВВ752П、ВВ753П)粉末高温合金[19,20]。与ЭП741НП 合金相比,ВВП 系列合金的拉伸强度、持久强度和低周疲劳性能更高,满足了俄罗斯新一代民用和军用航空发动机更高的使用要求。

图1 国内外粉末高温合金的发展
Fig.1 Development of powder metallurgy (PM) superalloys
FGH4103 和FGH4104 合金是我国在FGH4097合金基础上研制的新型俄系粉末高温合金,合金采用等离子旋转电极制粉+热等静压成形+热处理的工艺路线制备。3 种合金的化学成分如表2 所示。图2 示出了3 种合金的显微组织,其中FGH4103 合金晶粒度为5~6级,FGH4104合金晶粒度为6~7级,FGH4097合金晶粒度为6~7级。
FGH4103、FGH4104和FGH4097合金的室温及高温拉伸性能见表3。可见,在相同的温度下,FGH4103 与FGH4104 合金的屈服强度均明显高于FGH4097 合金,合金呈现典型的高强度特性;FGH4103合金在750和800 ℃具有优异的强度和塑性;FGH4104 合金在室温和700 ℃具有优异的强度和塑性。
FGH4103 和FGH4104 合金的持久强度(复合试样,缺口半径r=0.15 mm)以及低周疲劳性能见表4。由表4可见,在650 ℃下,FGH4103和FGH4104合金的持久强度和低周疲劳强度相当,明显高于FGH4097 合金;在750 ℃下,FGH4103 合金的持久强度明显高于FGH4104和FGH4097合金。
表1 欧美典型粉末高温合金成分[5,15,16]
Table 1 Chemical compositions of typical powder metallurgy superalloys[5,15,16](mass fraction/%)

表2 FGH4103、FGH4104和FGH4097合金的主要化学成分
Table 2 Main chemical compositions of FGH4103,FGH4104 and FGH4097 PM superalloys(mass fraction/%)

图2 FGH4103、FGH4104和FGH4097合金的显微组织
Fig.2 Microstructures of FGH4103(a),FGH4104(b)and FGH4097(c)PM superalloys
表3 FGH4103、FGH4104和FGH4097合金的拉伸性能
Table 3 Tensile properties of of FGH4103,FGH4104 and FGH4097 PM superalloys

Note:T—temperature,σb—tensile strength,σ0.2—yield strength,δ—elongation,Ψ—reduction in area
表4 FGH4103、FGH4104和FGH4097合金的持久强度和低周疲劳强度
Table 4 Stress rupture and low cycle fatigue(LCF)strengths of FGH4103,FGH4104 and FGH4097 PM superalloys

2 气雾化高温合金粉末制备技术
目前,在研先进发动机大量采用Ar气雾化高温合金粉末制备的涡轮盘。一方面,随着这些先进航空发动机进入应用,对于高质量Ar气雾化高温合金粉末需求量将越来越大;另一方面,随着航空发动机推重比的不断提高,涡轮前进口温度不断提高,对粉末高温合金盘件的性能以及可靠性、稳定性的要求也在不断提高。
高品质高温合金粉末,是先进航空发动机粉末涡轮盘研制和生产的基础和保障。目前高温合金粉末制备主要有Ar 气雾化法制粉(AA 粉)和等离子旋转电极法制粉(PREP粉)2种方法。欧美等先进工业发达国家均采用AA粉制备航空发动机粉末高温合金涡轮盘,AA粉粒度较细,制坯后组织均匀性好,夹杂物尺寸小。

图3 真空感应熔炼气雾化制粉设备示意图
Fig.3 Schematic of vacuum induction melting gas atomization (VIGA) powder manufacturing furnace
真空感应熔炼气雾化(VIGA)制粉设备示意图如图3所示。主要分为真空系统、感应熔炼系统、气源、雾化系统以及粉末收集系统,相应的制粉过程分为熔炼、雾化、液滴凝固与粉末收集4个过程。采用真空感应熔炼制备的母合金在熔炼炉经中频感应加热至熔融状态;受重力和雾化气流的抽吸力影响,克服瓷坩埚表面摩擦力和熔体内部黏滞力,通过导流管流入雾化室,在导流管末端受到高速气流的剪切力作用,克服表面张力破碎为毫米或微米尺度的熔滴;充分破碎的熔滴群在气流曳力、惯性力、重力和热泳力等合力作用下,在雾化室内分散飞行,与气流发生强烈的热交换作用,快速凝固为不同粒径的粉末颗粒,最终被分级系统收集于粉罐。
近年来,本课题组开展了Ar气雾化高温合金粉末制备技术研究[21],研制出50、150 和200 kg 级容量的制备Ar气雾化高温合金粉末的设备,掌握了粉末粒度控制、O 含量控制、非金属夹杂控制等关键技术。通过开发从实验室、中试到工程化生产的高温合金粉末制备装置和技术,形成了研究、开发和规模化生产能力,用以制造粉末高温合金涡轮盘件等热端部件,同时为3D打印增材制造提供原材料。
2.1 合金雾化过程研究
气雾化制粉属于物理外混合式二流破碎制粉方法,具有时间短、温度梯度高、合金状态变化复杂的特点,属于材料学、传热学、流体力学等多学科范畴,是一种复杂的物理冶金过程[22,23]。基于上述特点,对气雾化制粉过程直接进行实验分析难度较高,目前国内外学者普遍采用计算机模拟和间接实验相结合的方法进行研究[24~27]。
2.1.1 单相气流场模拟本课题组采用基于有限元方法(FVM)计算流体力学软件(CFD)对制粉炉单相气流场进行建模和分析。结果表明,气流云图呈现链状特征,轴线速度处于波动状态,导流管(delivery tube)下游存在速度回流区域,此区域与主射流交界位置存在速度驻点(图4)。此结果与Ting等[28]采用的高压型雾化器(HPGA)和Zhao 等[29]采用的紧密耦合(close-coupled)型雾化器流场有相似的分布特征。
2.1.2 熔体破碎模拟本课题组采用二维隐式VOF (volume of fraction)两相流模型对合金熔体气雾化初始破碎过程(primary atomization)进行模拟分析。结果表明,此结构的气雾化初始破碎合金熔体先后经历液柱波动、横向成膜以及液膜破碎过程(图5),其中液膜扩展距离与导流管外径相当,与雾化气流的接触面积相对传统结构雾化器较大[30],有利于提高雾化效率。利用三维大涡模拟(large eddy simulation)和显示VOF两相流模拟结合的方法对初始雾化产生的单个大液滴进行二次雾化(secondary atomization)研究。结果表明,随Weber数增大,液滴破碎从剪切破碎逐渐转变为爆炸式破碎方式,破碎产生的液滴尺寸有明显的减小(图5)。
2.1.3 粒子分散与分离模拟充分破碎的合金液滴在雾化炉内受到气流曳力、惯性力、重力等合力的影响,以一定的速度矢量分散运动,并与介质气流发生强烈的热交换,快速凝固成粉末颗粒。本课题组利用非定常离散粒子模型(unsteady discrete particle model)对150 万颗Rosin-Rammler 分布的粉末颗粒进行轨迹追踪。结果显示,不同粒径的粉末颗粒在不同水平截面分布不同,较粗颗粒主要集中在雾化锥外侧,而较细的颗粒则主要分布在雾化锥内部,雾化锥分散角度和实际拍摄的金属雾化锥角度基本吻合(图6)。

图4 单相气流场局部速度云图和轴线速度曲线
Fig.4 Gas-only flow field velocity magnitude profile and curve in axis

图5 液滴破碎过程模拟
Fig.5 Simulation of liquid disintegration process
(a)primary disintegration(b)secondary disintegration
2.2 Ar气雾化制粉过程粒度控制
Ar 气雾化制粉的优势在于可以制备比较细小的球形高温合金粉末,通过筛分去除较大的夹杂颗粒,从而降低夹杂的有害影响。因此,制粉过程中的粒度控制尤为重要。高温合金粉末粒度不仅影响粉末收得率,同时也会影响粉末的质量。所制备的粉末越细,粉末收得率越高,则粉末涡轮盘件的制造成本越低。粉末的粒度受到雾化喷嘴结构、雾化气体压力等多因素的影响。在气体动力学基础研究和金属雾化过程分析基础上,进行雾化喷嘴改进和设计。通过水雾化测试等手段,研究了雾化喷嘴结构和雾化工艺参数对粉末粒度的影响,结合实验验证,从而实现Ar气雾化高温合金粉末粒度的有效控制。
2.2.1 粒子图像测速(PIV)实验本课题组采用粒子图像测速系统对制粉炉体内气流场速度分布进行测试,在交角差90°的2个同水平截面的观察窗分别设置脉冲激光器和CCD相机(图7a)。向雾化气路中添加示踪粒子,示踪粒子受片激光激发产生的荧光信号被CCD相机捕捉,利用软件将图片拟合分析得到速度分布云图(图7b)。相比于传统测速方法,该实验可以准确地得到所观测位置的速度场信息,从而为改进雾化器和炉体结构提供指导。
2.2.2 高温合金粉末粒度控制(水雾化物理模拟和粉末制备实验验证)本课题组通过研究雾化喷嘴结构和雾化工艺参数对高温合金粉末粒度的影响,实现Ar 气雾化高温合金粉末粒度的有效控制。课题组采用与金属雾化过程相同的喷嘴结构和雾化工艺,使用水模拟金属液进行气体雾化以指导雾化喷嘴的设计和改进。采用滴谱仪在线测试雾化液滴尺寸分布,随着雾化压力的提高,雾滴尺寸逐渐变细,而喷嘴结构也会明显影响雾化液滴的尺寸(图8)。

图6 不同粒径粉末颗粒轨迹图
Fig.6 Particle trajectory of powder with different particle diameters

图7 PIV测速实验示意图和速度矢量分布图
Fig.7 Schematic of particle image velocimetry(PIV)experiment(a)and contour of velocity vector(b)
根据水雾化物理模拟结果,针对雾化喷嘴开展实际的高温合金粉末制备实验,通过工艺优化,粉末粒度得到细化。采用激光粒度分析法测量制备粉末的粒度分布,高温合金粉末中位径d50=29.2 μm,累计分布曲线10%和90%位置对应的粒度d10和d90分别为9.6和65.9 μm。
2.3 粉末O含量控制技术研究
O 含量是镍基高温合金粉末的一项重要指标。O 是粉末高温合金形成原始颗粒边界(PPB)的重要原因之一,同时高的O 含量对粉末高温合金的力学性能还会产生不利影响。本课题组[31]在粉末氧化特性分析基础上,研究了雾化气体O含量、雾化气体压力、真空度等雾化工艺条件及颗粒表面形貌和粉末储存条件等对粉末O 含量的影响,掌握了高温合金粉末O含量控制技术。研究了不同存放方式(介质)和不同存放时间(1~365 d)下高温合金粉末的O 含量。结果表明,短时间内不同存储方式下粉末O 含量差别不明显,但各储存条件下粉末的O 含量整体均随储存时间的延长而增加。
粒度也是影响粉末O含量的一个重要因素,图9给出了不同粒度高温合金粉末对应的气体含量。可以看到N含量几乎不随粒度变化而变化,H含量随粒度减小小幅上升,但二者均处于较低气体含量水平。O含量在中等和较粗粉末中变化不大,但粉末粒径小于25 μm 以后O 含量明显升高,粒径小于18 μm 后O 含量可达到近400×10-6。当粉末粒度控制在25~37 μm以上时,O含量可以控制在130×10-6以下。可见,粒度控制是控制O含量的一种有效手段。

图8 不同雾化压力下的雾滴尺寸(水雾化物理模拟)
Fig.8 Droplet size with different atomized pressures(water atomization physical simulation)
2.4 气雾化高温合金粉末形貌控制
2.4.1 粉末表面形貌对O含量的影响本课题组[31]采用Auger 谱对直径相近表面状态的不同的5个粉末颗粒表面的O 含量进行分析。结果表明,粉末表面状态对单个粉末的O 含量有较大的影响,粉末表面越光滑则吸附的O 越少,反之粉末表面越粗糙,粘附的卫星颗粒越多,粉末的O 含量越高。可见,粉末的表面形貌也是控制高温合金粉末O 含量的重要因素。
2.4.2 高温合金粉末形貌高温合金在气体雾化过程中,金属液流受到高速气流的冲击而解体,形成细小的熔滴。这些熔滴由于表面张力的作用,在下降过程中具有形成球体的趋势,因而一般气体雾化的金属粉末以球形为主。气体雾化粉末的球形度主要取决于金属熔体破碎后熔滴球化时间和凝固时间的相对大小。当熔滴的球化时间比凝固时间短时,在凝固前能够进行充分的球化,则凝固后所得粉末多为规则球形;反之则熔滴在凝固前不能进行充分的球化,凝固后将形成不规则形状的粉末颗粒。课题组采用Ar 气雾化制备的高温合金粉末以球状为主,平均球形度为0.90(图10)。
2.5 粉末中非金属夹杂物的控制
粉末高温合金中非金属夹杂物会影响合金的低周疲劳性能[32,33]。对高温合金母合金非金属夹杂物分析表明,母合金纯净度对粉末的非金属夹杂物含量有影响。粉末中部分非金属夹杂物,如Mg 和Al的氧化物等,可能来源于熔炼过程中的耐火料。本课题组采用电子束纽扣锭将粉末态和固结成形态中的粉末高温合金中非金属夹杂汇聚,采用同步辐射X 射线衍射(synchrotron X-ray diffraction)研究夹杂物的遗传特性,X射线波长为0.082577 nm。结果表明,Al2O3夹杂会从粉末遗传到块体合金中,因此需从源头控制该类非金属夹杂。

图9 气体含量与高温合金粉末粒度的关系
Fig.9 Relationship between gas content and superalloy powder particle size
此外,课题组针对粉末制备工艺过程的夹杂影响因素也开展了研究工作,包括雾化气体O含量、工作真空度和雾化压力等。结合雾化气体对粉末O含量影响研究,分析了不同O含量Ar气制备粉末的非金属夹杂物含量。结果表明,Ar气的O含量对于非金属夹杂物含量没有明显的影响。炉体工作真空度对粉末的非金属夹杂物含量影响不明显,不同雾化压力对制备的合金粉末中非金属夹杂物也几乎没有影响。通过粉末非金属夹杂物影响因素研究,优化熔炼和雾化工艺,改进耐火材料,实现了高温合金粉末非金属夹杂物含量的有效控制。
2.6 3D打印高温合金粉末及其制备技术
3D 打印高温合金粉末材料研究是高性能技术构件增材制造的重要方向[34],其粉末特性等因素决定着3D打印产品的质量和性能。近年来,本课题组采用真空感应气雾化(VIGA)等方法,开展了3D 打印高温合金粉末材料、制备技术及应用研究,所制备的高温合金细粉末(≤53 μm)收得率大于70%,粉末中位径d50=25~35 μm,球形度≥0.90,粉末夹杂率≤4 颗/200 g,O 含量≤0.02%,基本实现了3D 打印高温合金粉末的产业化,GH4169、GH3536、GH/PM625和GH/PM625M等镍基合金粉末目前已应用于航空发动机相关部件的3D打印。

图10 Ar气雾化高温合金粉末形貌
Fig.10 Morphology of Ar gas atomized superalloy powders
3 粉末高温合金涡轮盘制备研究进展
3.1 双性能涡轮盘研制
高性能发动机用涡轮盘,盘心部位承受低温高应力,需要细晶组织以保证足够的强度和疲劳抗力,而边缘部位则承受高温低应力,需要粗晶以保证足够的蠕变和持久性能[35]。通过热处理工艺控制,在涡轮盘件的轮毂部位获得细晶组织,轮缘部位获得粗晶组织,这种组织结构的盘件被称之为双组织/双性能盘件,双性能盘件更好地符合涡轮盘不同位置的服役环境特点,可充分发挥材料的潜能,在结构设计上起到减轻盘件重量的作用。
我国从“十一五”开始,开展了双性能涡轮盘的研究[8,36],经过多年的攻关,自主开发出双组织热处理工艺装备,掌握了盘件热处理过程中的温度梯度控制技术,并在多种合金和规格的盘件上进行了实验验证。
3.2 双合金涡轮盘研制
粉末高温合金不仅大量用于先进涡扇航空发动机的主动力装置,在飞机辅助动力装置(auxiliary power unit,APU)也获得了广泛应用。与采用单一高温合金铸造的整体涡轮相比,采用热等静压(HIP)工艺将粉末高温合金(盘件部位)和铸造合金(叶片部位)连接起来制备的双合金整体叶盘可实现盘件材料与叶片材料的最佳组合。双合金整体涡轮可显著降低盘件重量,提高涡轮使用温度,提升涡轮整体性能,延长涡轮使用寿命[37]。
国内采用固态连接技术,将FGH4091 合金盘(粉末+HIP 成形)与K418B 铸造(Cast)合金叶片环进行复合,其中粉末的制备方式包括等离子旋转电极(PREP)和AA制粉,研制了APU用双合金整体叶盘。图11为FGH4091(PREP粉+HIP成形)+K418B(cast)双合金整体叶盘低倍组织。接头处连接良好且无孔洞,实现了2种合金的良好连接。其中,FGH4091合金晶粒度为6~7级。

图11 双合金整体叶盘低倍组织
Fig.11 Macrostructure of dual-alloy auxiliary power unit(APU)turbine wheel
3.3 等温锻造模具材料的研制
等温锻造是指毛坯从始锻到终锻保持在同一温度条件下进行低变形速率的锻造,其充分利用了材料的超塑性,可大幅降低材料的变形抗力,同时消除模具激冷和变形热效应,从而改善热加工性能和锻件力学性能[38],成为高合金化难变形材料,如粉末镍基高温合金、金属间化合物和钛合金的主要成形方式[39]。目前,粉末高温合金涡轮盘普遍采用等温锻造成形[40,41],欧美采用钼钛锆(TZM)钼基合金作为锻模材料,工作温度可达1200 ℃,但TZM合金在高温下抗氧化性能较低,因此其作为等温锻造模具必须在真空下使用,而建立完善的全封闭等温锻造设备投资巨大且维护成本很高。为满足高性能粉末高温合金涡轮盘等温锻造的需求,肖程波等[42]和赵会彬等[43]等研制了1050~1100 ℃大气环境下使用的等温锻造模具合金。郑运荣等[44]对该类合金中反常有害大块M6C 碳化物的形成与控制开展研究。本课题组[45]针对合金成分进行优化,使该类合金在普通铸造等轴晶铸态条件下1100 ℃持久寿命可达到第一代单晶高温合金的水平,同时具有良好的组织稳定性。此外,Zhou 等[46,47]在多元素交互作用以及长时时效对持久性能的影响等方面也开展了深入的研究。以上研究工作为模具合金的应用提供了支撑。
4 粉末高温合金领域的基础研究
4.1 粉末高温合金蠕变机理研究
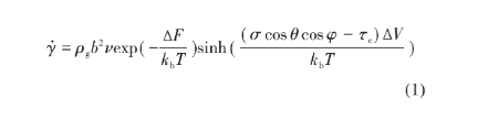
Li 等[48]采用不同的冷却速率获得了具有不同γ'相形貌特征的FGH96 合金,并运用三维原子探针(3DAP)技术对二次γ'相和三次γ'相的元素分布进行了系统研究。Peng 等[49~51]系统研究了不同γ'相形貌特征对粉末高温合金合金蠕变性能的影响机理。Peng 等[49]研究发现,存在一个临界的γ'相尺寸,当γ'相尺寸大于该临界尺寸时,切过机制主要为强位错对控制机制;当γ'相尺寸小于该临界尺寸时,切过机制主要为弱位错对控制机制。同时,在晶体塑性理论的基础上,建立了粉末高温合金稳态蠕变速率的物理模型,并计算了稳态蠕变速率(γ),即:

其中,ρg是滑移位错密度,b是Burgers矢量模,ν是位错震动频率,kb是Boltzmann 常数,T 是温度,ΔF 是Helmholtz 自由能,τc 是位错运动的临界剪切应力,ΔV是激活体积,σ是外加载荷,θ是加载方向与滑移方向之间的夹角,φ 是加载方向与滑移面法向之间的夹角。采用式(1)计算了不同γ'相形貌特征FGH96合金的稳态蠕变速率,计算结果与实验结果具有较好的一致性(图12)。
4.2 粉末-块体合金转变的高通量实验与表征
本课题组[52]对一种第三代粉末高温合金制备过程从粉末到块体合金的转变过程(包括晶粒组织转变、微量相的遗传特性和元素快速再分配)进行了高通量实验和表征(图13)。采用较低温度热等静压松散固结高温合金粉末,同炉一次制备上百个试样,既保持了粉末原始的组织特征,又使粉末试样可用于大电流快速可控加热。将合金从粉末到固结成形后块体合金的组织演变规律的实验时间从原有的“小时”级提升到“秒”数量级,确定粉末枝晶向等轴晶转变的临界转变温度,同时可获得包括晶粒度和相随温度转变的定量信息(图13a[52]),可为合金热等静压和热处理温度参数的快速选择提供依据,同时也可为金属粉末3D 打印等快速加热冷却工艺过程组织临界转变温度的确定提供参考。采用英国钻石光源同步辐射X 射线衍射追踪粉末到块体材料转变过程中的微量相变,X射线能量为75 keV,波长为0.016314 nm,获得1 个衍射花样的时间为1~2 s(图13b)。通过电子背散射衍射(EBSD)和电子探针(EPMA)结合的方式观察粉末树枝晶向平直晶界等轴细晶转变和元素的快速再分配规律。结果表明,镍基高温合金粉末在γ'回溶温度以下仍然保持原始的枝晶结构和细小晶粒,当粉末快速加热到γ'回溶温度以上保温几秒钟即发生枝晶到等轴晶的转变,随着温度的升高晶粒迅速长大。

图12 FGH96 合金700 ℃的蠕变速率计算结果与实验结果对比图
Fig.12 Calculated and experimentally measured creep test behavior at 700 ℃for FGH96 alloy

图13 粉末到块体高温合金组织转变的高通量实验[52]与微量相变的同步辐射X射线快速表征
Fig.13 High throughput experiment of microstructure evolution from powder to bulk superalloy (a)[52] and fast characterization of minor phase change by synchrotron X-ray diffraction (b) (Tcentre——centre temperature, Tγ'——γ' solvus temperature,TIM——incipient melting temperature,TL——liquidus temperature)
5 结语与展望
目前,我国已成功研制出第一代高强型和第二代损伤容限型粉末高温合金,正在研制高强损伤容限型第三代粉末高温合金。并对高工作温度、高强度和高损伤容限的新型第四代粉末高温合金开展了补充探索研究。高温合金Ar 气雾化制粉技术和装备取得进展,通过粉末的纯净度、粒度、O含量、夹杂和形貌控制,满足我国粉末高温合金涡轮盘件制备和3D打印复杂构件的需求。未来高温合金Ar气雾化制粉技术将继续朝着高纯、细化、窄粒度、少夹杂、高球形度以及高效率和低成本的方向发展。在现有涡轮盘件制备技术的基础上,研制了符合涡轮盘不同位置服役环境特点的双性能涡轮盘和双合金整体叶盘,研制的高温合金锻模材料可满足我国粉末高温合金涡轮盘件等温锻造的需求。综合运用同步辐射、原子探针等先进表征手段和高通量实验手段,提高研发效率,揭示粉末高温合金制备和服役过程中的基础科学问题和规律。
来源:《金属学报》作者:张国庆 张义文 郑亮 彭子超
6 粉末冶金行业新机遇
全球粉末冶金领域旗舰盛会——2026 第十八届中国国际粉末冶金及硬质合金展览会(PM CHINA)将于3月24-26日在国家会展中心(上海)盛大启幕!55,000+㎡超大展区、五展协同的资源整合平台,汇聚1,000+知名企业,80,000+人次专业观众重磅集结。
展会覆盖汽车领域、电子电器、航空航天、五金机械、军事工业、生物医疗、能源工业、环保工业等领域的核心采购商,更有行业龙头企业及众多高校院所将会到场。这里既是创新技术的展示舞台,更是精准对接全产业链资源的商贸枢纽,助您抢占万亿级市场红利。诚邀行业精英携手,共赴这场产业盛会,链接优质商机!
同期举办的第十四届上海注射成形论坛与2026第十八届上海粉末冶金产业论坛将围绕粉末冶金行业最新研究突破、前沿技术应用以及热点焦点话题展开深入探讨,助力行业实现升级创新与可持续发展。
声 明:文章内容来源于特种铸造。仅作分享,不代表本号立场;图片非商业用途。如有侵权,请联系小编删除,谢谢!






沪公网安备31011802004991